ИВМ СО РАН Поиск 
Отчеты ИВМ СО РАН

Отчет ИВМ СО РАН за 2005 год

Интеграционные, целевые, экспедиционные проекты, гранты СО РАН

Экспедиционные проекты


Проект № 16: «Изучение гидробиологического режима и экологического состояния водных биологических ресурсов Красноярского водохранилища "

Руководитель:
д.ф.-м.н., проф. В. Н. Лопатин

Для изучения экологического состояния и режимов функционирования различных трофических звеньев экосистемы Красноярского водохранилища были проведены полевые исследования структурных и функциональных характеристик бактерио- и фитопланктона, наиболее распространенных видов ихтиофауны (окунь, лещ, щука, пелядь, плотва, елец) и других факторов среды на различных участках Красноярского водохранилища.

Выявлены связи продукционных характеристик бактериопланктона с условиями среды. Отмечается снижение темпов прироста бактериальной биомассы с возрастанием плотности бактерий (рис. 20).

Рис. 20
Рис. 20. Зависимость между удельной скоростью роста (k) изменения численности и начальной плотностью бактерий (N0) в фильтрованной воде.

Зависимость между k и N0 хорошо аппроксимируется логистическим уравнением Ферхюлста-Пирла k=0.66-0.20N0 (коэффициент корреляции r=0.6). Положительные величины удельной скорости роста указывают на то, что темпы деления клеток превышают скорости их отмирания, а равновесная плотность (предельная плотность насыщения при равенстве удельной смертности и удельной рождаемости), которая во многом зависит от обеспеченности организмов ресурсами питания, для водохранилища составляет 3.4 млн. кл./мл.

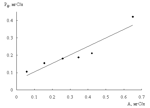
Удельная продукция фитопланктона (валовая продукция на единицу биомассы) или коэффициент ассимиляции (по углероду) с ростом величины общей биомассы падает обратно пропорционально последней, т.е. продукция водорослей практически не зависит от величины биомассы и, следовательно, лимитируется биогенными элементами. Анализ связей продукции фитопланктона (Рф) с другими трофическими звеньями показывает высокозначимую корреляцию Рф с продукцией бактериопланктона и деструкцией растворенного органического вещества (РОВ) (рис. 21). Коэффициент корреляции зависимости, приведенной на рис. 21, равен 0.94, энтропийное значение относительной приведенной погрешности — 20%.

При расчете общей продукции фитопланктона с использованием многофакторной мультипликативной модели, апробированной на других водоемах (озеро Ханка, река Енисей), выявлено, что наиболее важными факторами среды для роста фитопланктона в водах водохранилища являются продукционно-деструкционные характеристики бактериопланктона, которые в свою очередь определяются наличием легкоокисляемого органического вещества и ОВ, адсорбированного из растворенной фазы на частицах минеральной взвеси. Это объясняется тем, что бактериопланктон за счет рециклинга РОВ до биогенных элементов осуществляет дополнительную подпитку водорослей, снижая эффект лимитирования по биогенам.

Коэффициент множественной корреляции для зависимости между измеренными величинами первичной продукции и рассчитанными по модели равен 0.78.

Рис. 21
Рис. 21. Зависимость первичной продукции от суммарной величины продукции и деструкции бактериопланктона (по усредненным величинам).

Пополнена сводная база данных по характеристикам (численность лейкоцитов и эритроцитов, содержание гемоглобина, функциональная активность антигенактивированных и не активированных фагоцитирующих клеток крови по данным хемилюминесцентного анализа, возраст, половая принадлежность, масса, размеры тела) репрезентативной выборки представителей ихтиофауны водохранилища, формирование которой было начато в 2000 г. Это позволяет провести территориальные и межгодовые сравнения, установить динамику иммуногематологических параметров на протяжении летнего периода при изменении физиологического состояния. В частности, отмечается, что в 2005 г. у лещей заметно повысился уровень кислородного метаболизма фагоцитирующих клеток по сравнению с данными 2004 года, достигнув показателей 2001 года. Та же тенденция характерна для окуня и щуки, у которых уровень генерации АФК активированными клетками в 1.5-4 раза превышал его значения в предыдущие годы.

Основные публикации:

  1. Апонасенко А. Д., Щур Л. А., Постникова П. В., Филимонов В. С., Лопатин В. Н.
    Роль органоминерального детрита в трофической микробиальной «петле» // Оптика атмосферы и океана. — 2005. — Т. 18. — № 10. — С. 934–940.

  2. Schure L. A., Aponasenko A. D., Postnikova P. V., Filimonov V. S., Lopatin V. N.
    Influence of mineral suspension on the phytoplankton growth // Proc. SPIE. — 2005. — Vol. 6160 (II). — P.

  3. Schure L. A., Aponasenko A. D., Pozhilenkova P. V., Filimonov V. S., Lopatin V. N.
    Influence of mineral suspension on the phytoplankton growth // Abstr. XII Joint Int. Symposium. — Tomsk. — 2005. — P. 154–155.

(Отдел вычислительной физики)

К началу