ИВМ СО РАН Поиск 
Отчеты ИВМ СО РАН

Отчет ИВМ СО РАН за 2010 год

Федеральные программы

Федеральная целевая программа «Глобальная навигационная спутниковая система»


Проект «Разработка модели терморегулирующих устройств космических аппаратов на основе гипертеплопроводности и пористых металлов»

Руководитель: к.ф.-м.н. В. А. Деревянко

Этап 8. «Наземная и летная отработка составных частей модуля системы прецизионной термостабилизации на базе гипертеплопроводящих пластин, заданной Решением Заказчика №110-01/10»

Разработан модуль системы прецизионной термостабилизации (МСПТ) атомного стандарта частоты (АСЧ) на уровне ± 0.01 °С с использованием гипертеплопроводящих пластин, что позволит повысить суточную стабильность спутниковой шкалы времени до 1-2 нс. Схемы устройства МСПТ приведены на рис. II.1.

Рис. II.1
Рис. II.1. Схема устройства МСПТ: 1 — основание корпуса; 2 — радиатор АСЧ; 3 — плата корпуса; 4 — радиатор; 5 — тепломассовый имитатор АСЧ; 6 — обогреватели ГТП

Разработана методика проведения космического эксперимента. Выданы техническое задание на космический эксперимент и исходные данные на установку МСПТ. Разработана тепловая модель МСПТ, методики проведения автономных испытаний и программное обеспечение МСПТ.

Этап 9. «Разработка математической модели навигационного космического аппарата с учетом использования ГТП»

Разработана математическая модель теплового режима модуля специальных нагрузок, основанная на численном решении системы нестационарных уравнений теплопроводности. С помощью модели исследовано влияние различных технических решений на тепловой режим модуля целевого назначения. Проведено вычислительное моделирование теплового режима при различных вариантах компоновок модуля с использованием тепловых труб (ТТ) и гипертеплопроводящих панелей (ГТП). На рис. II.2 приведено двумерное распределение температуры на внутренней поверхности сотовой панели, отображенное в цветовой шкале с шагом ΔТ = 2 °С.

Рис. II.2
Рис. II.2. Распределение температуры на внутренней поверхности сотопанели с использованием ТТ и ГТП

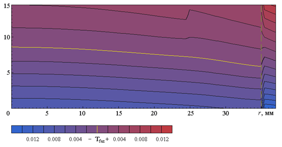
Разработана математическая модель теплового режима бортового стандарта температуры (БСТ). БСТ предназначен для обеспечения высокостабильной температуры на борту космического аппарата; в основе работы БСТ лежит принцип стабильности температуры на границе раздела фаз рабочего вещества. Модель базируется на численном решении двумерной задачи Стефана в цилиндрической системе координат. Проведено моделирование функционирования бортового стандарта температуры в рабочем режиме и режиме запуска, определена динамика температурных полей и фазовой границы. На рис. II.3 приведено двумерное распределение температуры, отображенное в цветовой шкале с шагом ΔТ = 0.002 °С. Распределение приведено для объема, который занимает эвтектический сплав и боковая стенка корпуса. Граница сплава и стенки внутреннего корпуса БСТ на рисунке отмечена штриховой линией. Желтой изолинией показана фазовая граница «жидкость-твердое тело» в эвтектическом сплаве.

Рис. II.3
Рис. II.3. Распределение температуры в плоскости r-z

Вычислительные эксперименты показали, что рассматриваемая конструкция и алгоритм работы БСТ обеспечивают заданную (± 0.01 °С) стабильность поддержания температуры. Результаты математического моделирования были учтены при разработке требований к конструкции БСТ и выработке алгоритмов режимов работы.

Работа выполнена в интересах ОАО «Информационные спутниковые системы им. акад. М. Ф. Решетнева», г. Железногорск.

Основные публикации:

  1. Научно-технический отчет «Разработка математической модели теплового режима модуля специальных нагрузок», этап 9.1.2010. — 35 с.

  2. Научно-технический отчет «Разработка математической модели бортового стандарта температуры», этап 9.2.2010. — 30 с.

  3. Васильев Е. Н., Деревянко В. В.
    Математическая модель процессов теплообмена в сотовой панели с тепловыми трубами // Вестник СибГАУ. — 2010. — № 2. — С. 4-7.

(Отдел вычислительной математики)

К началу